
克隆性造血(clonalhematopoiesis,CH)是指携带白血病相关体细胞突变的造血干/祖细胞克隆发生克隆性扩增的现象,被认为是血液系统恶性肿瘤发生前的重要分子事件。苯是明确的职业和环境致癌物,可引起骨髓抑制和白血病。然而,长期苯暴露与CH发生及异常克隆演化之间的关联仍缺乏直接人群证据。研究团队纳入201名研究对象,包括职业性苯暴露工人、慢性苯中毒患者和未暴露健康对照,通过个体苯暴露水平评估、全外显子组测序及深度...

蚊媒传染病是全球公共卫生面临的重要挑战之一,疟疾等疾病在部分国家和地区仍持续流行。传疟媒介按蚊监测是疟疾防控和风险研判的重要基础,但传统监测方法主要依赖人工采集和形态鉴定,存在劳动强度大、时空连续性不足、标准化水平有限等问题,难以满足复杂流行环境下媒介智能监测与风险预警需求。围绕传疟媒介按蚊精准识别、自动监测和风险预警等关键科学问题,中国疾病预防控制中心病媒生物首席专家刘起勇研究员团队牵头申报...

居室积尘作为室内环境中多种有害物质的重要载体和长期释放源,其健康风险日益受到关注。以DNA甲基化为代表的表观遗传学改变,可能是居室积尘诱发健康损害的早期关键机制之一。邻苯二甲酸酯(PAEs)作为积尘中的典型污染物,评估真实居室积尘中PAEs的污染特征,并探究其与积尘综合DNA去甲基化潜力之间的关联,不仅有助于深入理解PAEs的表观遗传毒性机制,也可以为制定针对性的积尘管控策略提供科学依据。 研究团队针对居室积...

肺炎克雷伯菌是重要的机会致病菌,尤其易导致严重的继发感染。近年来随着高毒力菌株的出现,并与耐药出现协同进化,已成为人群健康的严重威胁。2024年世界卫生组织(WHO)已将高毒力肺炎克雷伯菌全球流行风险确定为中等。 为评估高毒力肺炎克雷伯菌在我国的流行和公共卫生风险,中国疾病预防控制中心传染病预防控制所与中国科学院微生物研究所联合对2018 - 2024年间来自全国28个省市的4850例临床病例的分离株进行了基因组测...

胶质母细胞瘤是成人最常见、最具侵袭性的原发性恶性脑肿瘤之一,患者预后较差,中位生存期小于2年,放疗抵抗是其治疗失败和复发的重要原因。因此开发可以精准靶向且增强肿瘤放疗敏感性的策略,已成为改善胶质母细胞瘤治疗效果的关键需求。 中国疾控中心辐射安全所通过细胞质膜包覆技术成功设计制备了一种新型仿生化磁性纳米颗粒,该颗粒可利用同源靶向机制被胶质母细胞瘤细胞特异性摄取,且对肿瘤细胞具有放射增敏作用,为...

目前艾滋病仍然是我们面临的重大公共卫生挑战之一,尽管抗逆转录病毒治疗和暴露前预防取得了重大进展,但每年仍有上百万的HIV新发感染者。由于HIV具有高度变异性并攻击免疫系统,疫苗研发面临巨大挑战。 中国疾病预防控制中心(中国预防医学科学院)艾防中心、国药中生和北京协和医院联合完成国内首个复制型天坛痘苗载体HIV疫苗I期临床试验。该研究创新性采用曾用于天花消灭的"天坛株"痘苗病毒为载体,构建表达HIV-1 CRF07_...

流行病学统计显示,全球75%的新发传染病为人兽共患病。在气候变化和人类活动加剧的背景下,人兽交界面的生态改变显著增加了病原体跨物种传播风险。啮齿类动物作为重要宿主群体,不仅是多种人兽共患病病原体的天然储存库,其体表寄生虫(如蚤类、蜱虫等)更可能成为疾病暴发的关键媒介,引发严重的公共卫生危机。深入研究体表寄生虫与鼠类宿主的相互作用,能够为预测和防控人兽共患病提供科学依据,对生态系统平衡和“同一健康...

朊病毒病是一类侵袭人类及多种动物中枢神经系统的退行性疾病,潜伏期长,致死率100%。该病在临床上诊断困难,易与其他神经退行性疾病混淆。实时震荡诱导蛋白扩增(RT-QuIC)技术对朊病毒病的诊断具有较高的特异性和敏感性。然而,选择何种组织样本更适合应用此项检测技术来辅助诊断在临床工作中非常重要。 病毒病所朊病毒病室研究团队与首都医科大学宣武医院联合开展了大量活检皮肤及脑脊液样本的RT-QuIC检测分析,研究涵...

中国曾是全球疟疾的重灾区——上世纪40年代,每年约3000万人感染,死亡率高达1%。在2021年6月30日,世界卫生组织认证中国为无疟疾国家!这一转变的背后,是几代人的努力和一场跨越70年的灭蚊战争。 中国疾病预防控制中心传染病预防控制所刘起勇研究团队,回顾研究了中华人民共和国成立后,为控制消除疟疾所采取的媒介蚊虫控制创新策略和措施,包括爱国卫生除害防病、蚊虫综合治理、分层可持续的媒介生物控制策略等。在不同...

沙尘暴是常见自然灾害。全球每年约有20亿吨沙尘排放到大气中,显著影响全球及区域的空气质量。值得注意的是,气候变化再加上人类对土地管理不善,导致半干旱地区植被减少,逐渐荒漠化,使得沙尘暴发生日益加剧威胁全球。 环境所李湉湉研究员联合美国健康效应研究所Aaron J. Cohen教授、英国帝国理工学院Michal Krzyzanowski教授搭建了国际合作的研究网络,邀请包括联合国、世界卫生组织、世界气象组织、中国科学院、清华大...

棘球蚴病(echinococcosis),俗称包虫病,是一种全球性人畜共患病,也是我国重点防控的寄生虫之一。寄生虫病所基于2004-2022年全国棘球蚴病监测数据,通过多维度分析揭示了我国棘球蚴病的流行病学特征。研究为全球棘球蚴病防控提供了关键数据支持,展示了我国在寄生虫病控制领域的贡献。研究强调,未来需持续推动技术创新、巩固防控成果并加强国际合作,助力实现“健康中国2030”的疾病控制目标。 在2004-2022年期间,全国...

2020年,世界卫生组织(WHO)发布了《2030年消除脑膜炎》的倡议。通过全球科学家的共同努力,脑炎/脑膜炎的发病率和死亡率已显著降低。及时了解一个国家的脑炎/脑膜炎病原体谱的动态变化对于流行病控制至关重要。 据此,病毒病所虫媒室于2018至2021年间,收集了来自18个省份的229名脑炎/脑膜炎患者的脑脊液样本,利用靶向下一代测序(tNGS)技术和qPCR进行病原体平行检测。研究发现,2018至2021年间脑炎/脑膜炎的病原谱与20...

“One Health”核心思想为强调人类健康、动物健康和生态环境健康之间的紧密联系和相互依存关系,倡导通过跨学科、跨部门的合作,实现人类、动物和环境的整体健康。抗生素耐药性问题是“One Health”的重要应用范畴之一,细菌耐药给全球健康构成重大威胁,耐药菌在人、动物和环境之间的传播错综复杂,揭示“One Health”下耐药基因在不同环节之间的流动对于遏制耐药细菌传播至关重要。 中国疾病预防控制中心传染病预防控制所...

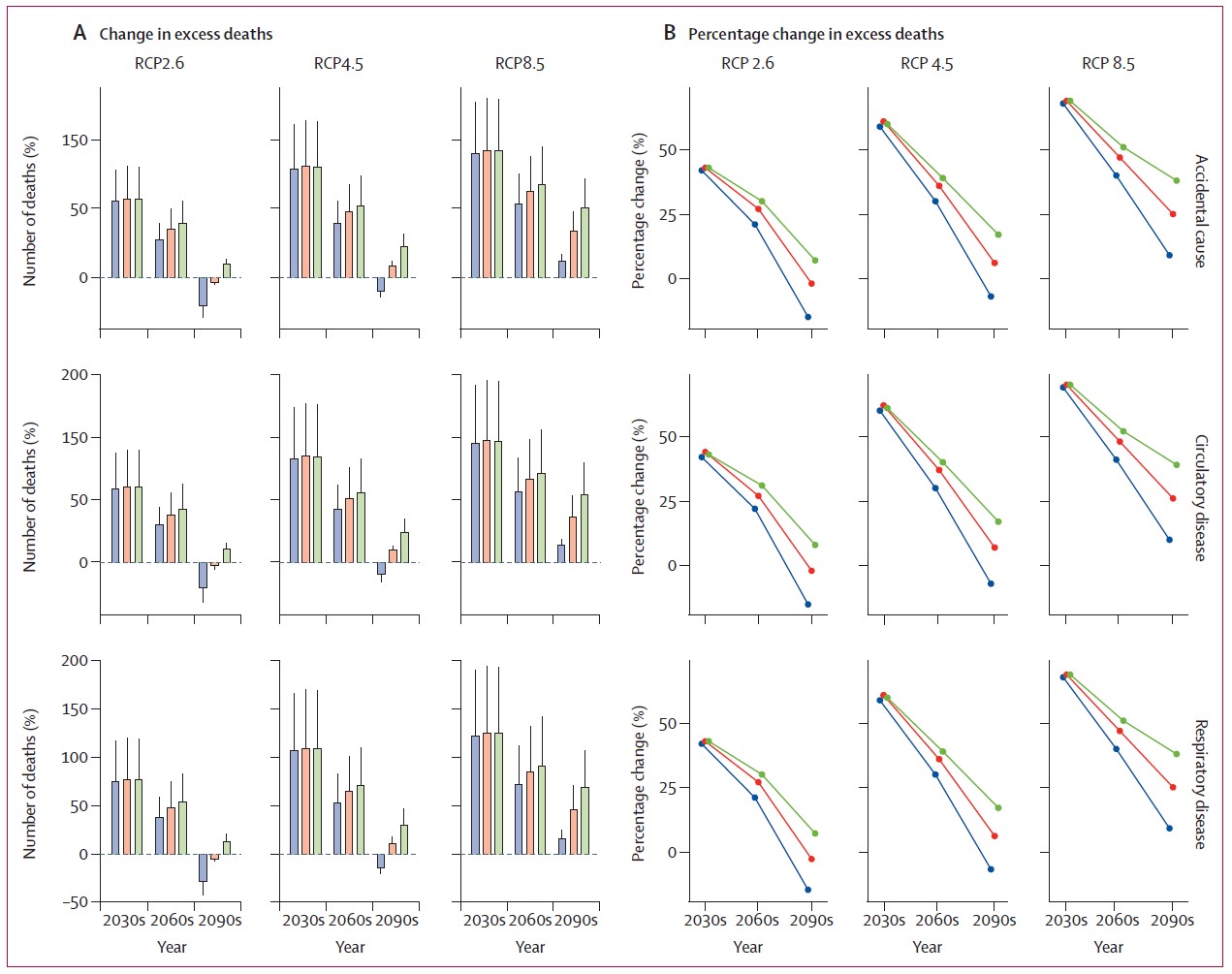
气候变暖形势下全球降水趋势发生异常,暴雨等极端降水事件频发高发,危害人群生命安全与健康。然而,关于暴雨相关的疾病负担水平以及未来气候变化下其时空分布趋势鲜有研究,迫切需要开展相关研究为气候变化健康适应举措的制定提供科学依据。 环境所李湉湉研究团队应用大规模人群健康监测数据、降水暴露数据和疾病负担评估模型,定量分析了中国暴雨与人群意外死亡、非意外死亡结局的关联,据此评估在未来不同减排路径情景...

锥虫病持续对人类健康构成全球性威胁,人类感染锥虫病主要由布氏锥虫和克氏锥虫引起。狄氏锥虫是一种起源于蝙蝠的锥虫虫种,与克氏锥虫近源。 2024年9月26日,Journal of Infection发表了由中国疾控中心寄生虫病所、山东大学齐鲁医院和军事科学院共同完成的我国首例狄氏锥虫病的病例报告。该文章报道了我国首例狄氏锥虫病病例,患者是一名来自山东省的30岁孕妇,主要临床症状包括:持续发高烧,呼吸急促、胸闷,并伴有肝脏...

溴代偶氮染料作为潜在的内分泌干扰物,在环境中广泛存在,但其长期慢性毒性效应尚未得到充分关注。 中国疾病预防控制中心环境所唐宋研究员团队聚焦于环境浓度下溴代偶氮染料—分散蓝(DB79)对斑马鱼繁殖力的长期及代际影响,采用斑马鱼三代暴露模型,结合计算机模拟、生物信息学分析和体外测定等多策略整合分析方法,揭示了过氧化物酶体增殖物激活受体α/类视色素X受体α(PPARα/RXR)和孕烷X受体(PXR)配体结合是DB79引...

从人群、动物、环境等环节监测耐药病原菌,对绘制耐药病原菌的分布全景、追踪跨界面传播与溯源、评估扩散感染风险,尤其对耐药控制策略措施的制订是必需的。目前对病人、养殖动物、环境、食品开展的监测和分析较多,但对健康人群携带耐药病原菌和可能的传播作用认识还很少。 中国疾控中心传染病预防控制所与广西玉林市疾控中心等单位对2013至2020年间260315人次健康成人的沙门菌携带及其耐药性开展了流行病学、病原学和基因...

2024年10月28日,The BMJ发表了由中国疾病预防控制中心营养与健康所与北京大学公共卫生学院共同完成的一项研究论文。研究依托全国性大规模抽样调查,发现2016-2021年间中国贫困农村地区6~23月龄儿童贫血、生长迟缓、消瘦等营养不良问题迅速改善,患病率降速远超联合国可持续发展目标(Sustainable Development Goals)的相关要求。截至2021年,中国贫困农村多项儿童营养指标已超过发达国家水平。研究期间,不同经济发展水平县...

2024年7月,中国疾病预防控制中心辐射防护与核安全医学所孙全富研究员及其团队在辐射研究领域高水平期刊Journal of Radiation Research上发表一篇题为“Measurements of 131I activity in thyroid of workers at the place of radioiodine therapy in 38 hospitals in China”的论文。 该论文报道了中国部分放射性碘治疗场所工作人员甲状腺碘-131活度水平,分析了主要影响因素。研究发现,我国约四分之一的核医学工作人员的...

2024年7月20日和9月7日,中国疾病预防控制中心施小明和唐宋研究员团队在环境健康领域顶级期刊Environmental Health Perspectives(EHP,IF:10.1)发表了2篇重要暴露组学研究成果,分别题为“Association between Personal Abiotic Airborne Exposures and Body Composition Changes among Healthy Adults (60–69 Years Old): A Combined Exposome-Wide and Lipidome Mediation Approach from the China BAPE Study”和“Expo...